Официальное опубликование правовых актов
ОФИЦИАЛЬНОЕ ОПУБЛИКОВАНИЕ
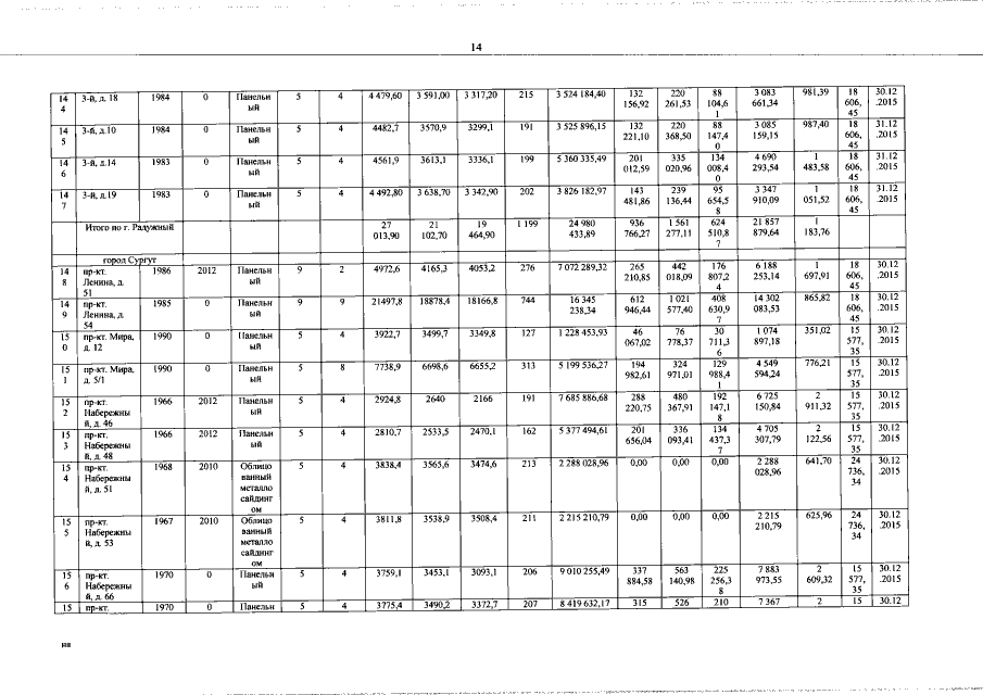
Постановление Правительства Ханты-Мансийского автономного округа - Югры от 22.12.2016 № 545-п
"О внесении изменения в приложение к постановлению Правительства Ханты-Мансийского автономного округа – Югры от 5 июня 2014 года № 202-п "О краткосрочном плане реализации программы капитального ремонта общего имущества в многоквартирных домах, расположенных на территории Ханты-Мансийского автономного округа – Югры, на 2014 - 2016 годы"
Номер опубликования: 8600201612280030
Дата опубликования: 28.12.2016
Страница №14 из 125:
Увеличить