Официальное опубликование правовых актов
ОФИЦИАЛЬНОЕ ОПУБЛИКОВАНИЕ
Постановление Губернатора Ханты-Мансийского автономного округа - Югры от 02.12.2016 № 144
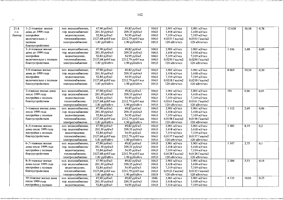
"О внесении изменений в постановление Губернатора Ханты-Мансийского автономного округа – Югры от 29 мая 2014 года № 65 "О предельных (максимальных) индексах изменения размера вносимой гражданами платы за коммунальные услуги в муниципальных образованиях Ханты-Мансийского автономного округа – Югры на период с 1 июля 2014 года по 2018 год"
Номер опубликования: 8600201612050004
Дата опубликования: 05.12.2016
Страница №142 из 166:
Увеличить