Официальное опубликование правовых актов
ОФИЦИАЛЬНОЕ ОПУБЛИКОВАНИЕ
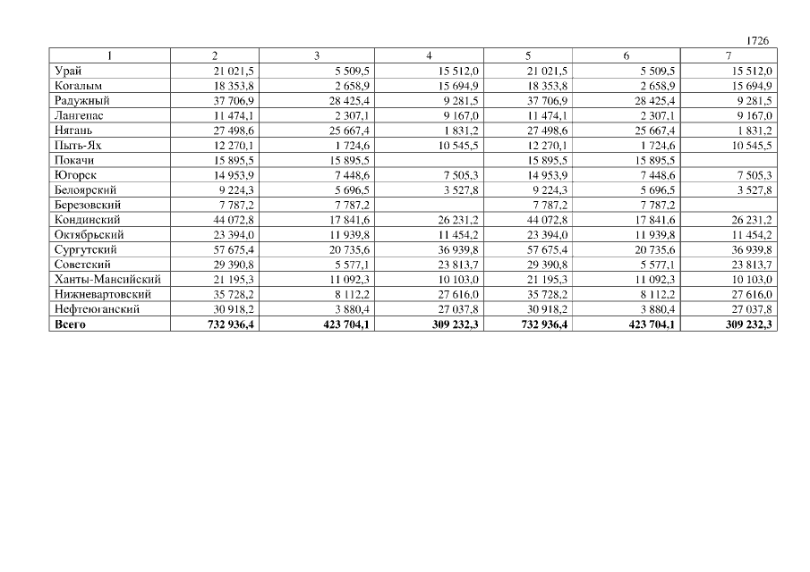
Закон Ханты-Мансийского автономного округа - Югры от 17.11.2016 № 99-оз
"О бюджете Ханты-Мансийского автономного округа - Югры на 2017 год и на плановый период 2018 и 2019 годов"
Номер опубликования: 8600201611230043
Дата опубликования: 23.11.2016
Страница №1726 из 1739:
Увеличить