Официальное опубликование правовых актов
ОФИЦИАЛЬНОЕ ОПУБЛИКОВАНИЕ
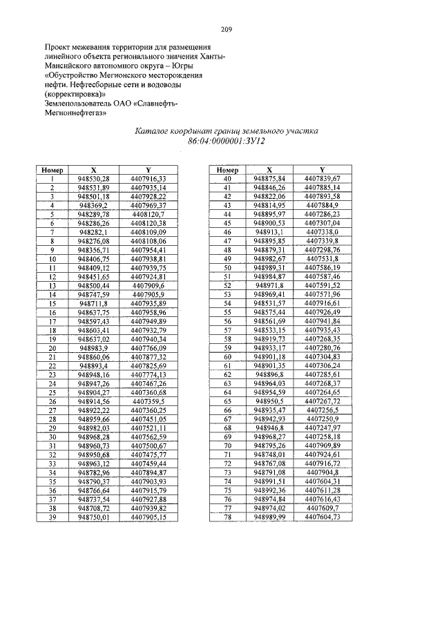
Постановление Правительства Ханты-Мансийского автономного округа - Югры от 09.09.2016 № 340-п
"Об утверждении документации по планировке территории для размещения линейных объектов регионального значения Ханты-Мансийского автономного округа – Югры и о внесении изменения в постановление Правительства Ханты-Мансийского автономного округа – Югры от 6 мая 2016 года № 136-п "Об утверждении документации по планировке территории для размещения линейных объектов регионального значения Ханты-Мансийского автономного округа – Югры"
Номер опубликования: 8600201609140007
Дата опубликования: 14.09.2016
Страница №209 из 349:
Увеличить