Официальное опубликование правовых актов
ОФИЦИАЛЬНОЕ ОПУБЛИКОВАНИЕ
Постановление Правительства Ханты-Мансийского автономного округа - Югры от 10.06.2016 № 201-п
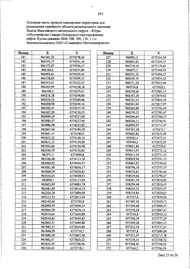
"Об утверждении документации по планировке территории для размещения линейных объектов регионального значения Ханты-Мансийского автономного округа – Югры и о внесении изменения в приложение 26 к постановлению Правительства Ханты-Мансийского автономного округа – Югры от 15 апреля 2016 года № 108-п "Об утверждении документации по планировке территории для размещения линейных объектов регионального значения Ханты-Мансийского автономного округа – Югры"
Номер опубликования: 8600201606140001
Дата опубликования: 14.06.2016
Страница №377 из 496:
Увеличить