Официальное опубликование правовых актов
ОФИЦИАЛЬНОЕ ОПУБЛИКОВАНИЕ
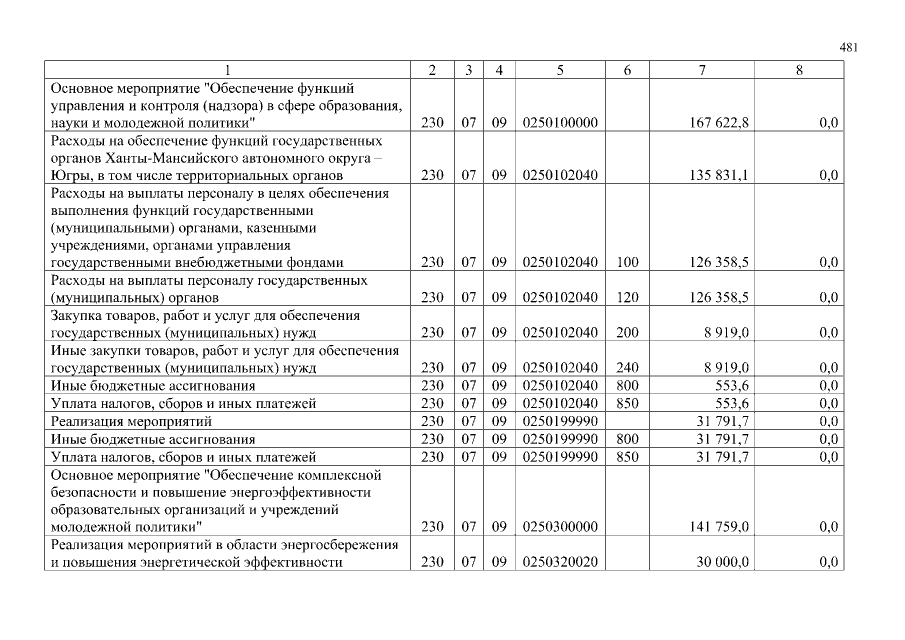
Закон Ханты-Мансийского автономного округа - Югры от 27.04.2016 № 34-оз
"О внесении изменений в Закон Ханты-Мансийского автономного округа - Югры "О бюджете Ханты-Мансийского автономного округа - Югры на 2016 год"
Номер опубликования: 8600201604290014
Дата опубликования: 29.04.2016
Страница №481 из 841:
Увеличить