Официальное опубликование правовых актов
ОФИЦИАЛЬНОЕ ОПУБЛИКОВАНИЕ
Постановление Правительства Ханты-Мансийского автономного округа - Югры от 11.12.2015 № 458-п
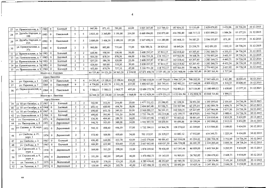
"О внесении изменения в постановление Правительства Ханты-Мансийского автономного округа - Югры от 5 июня 2014 года № 202-п "О краткосрочном плане реализации программы капитального ремонта общего имущества в многоквартирных домах, расположенных на территории Ханты-Мансийского автономного округа - Югры, на 2014 - 2016 годы"
Номер опубликования: 8600201512140004
Дата опубликования: 14.12.2015
Страница №4 из 88:
Увеличить