Официальное опубликование правовых актов
ОФИЦИАЛЬНОЕ ОПУБЛИКОВАНИЕ
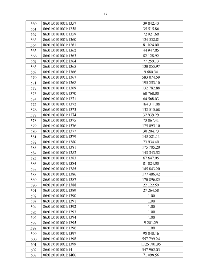
Постановление Правительства Ханты-Мансийского автономного округа - Югры от 07.08.2015 № 249-п
"Об утверждении результатов определения кадастровой стоимости земельных участков в составе земель населенных пунктов на территории Ханты-Мансийского автономного округа - Югры и признании утратившими силу некоторых постановлений Правительства Ханты-Мансийского автономного округа - Югры"
Номер опубликования: 8600201508210001
Дата опубликования: 21.08.2015
Страница №17 из 6599:
Увеличить