Постановление Губернатора Ханты-Мансийского автономного округа - Югры от 06.03.2015 № 20
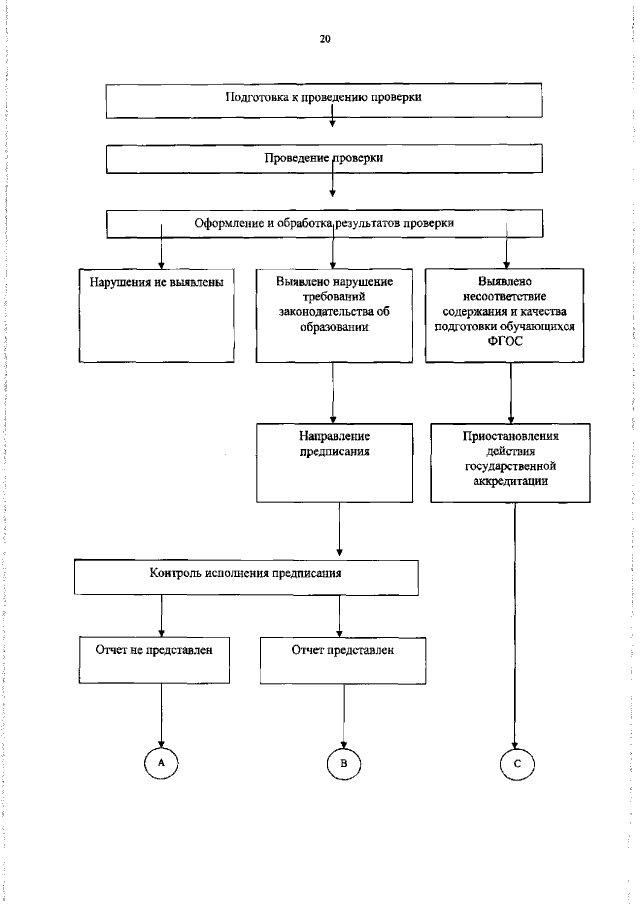
"О внесении изменений в приложение к постановлению Губернатора Ханты-Мансийского автономного округа - Югры от 31 января 2012 года № 11 "Об административном регламенте исполнения Службой по контролю и надзору в сфере образования Ханты-Мансийского автономного округа - Югры государственной функции по осуществлению государственного контроля (надзора) в сфере образования за деятельностью организаций, осуществляющих образовательную деятельность на территории Ханты-Мансийского автономного округа - Югры (за исключением организаций, указанных в пункте 7 части 1 статьи 6 Федерального закона от 29 декабря 2012 года № 273-ФЗ "Об образовании в Российской Федерации"), а также органов местного самоуправления, осуществляющих управление в сфере образования на соответствующей территории"
"О внесении изменений в приложение к постановлению Губернатора Ханты-Мансийского автономного округа - Югры от 31 января 2012 года № 11 "Об административном регламенте исполнения Службой по контролю и надзору в сфере образования Ханты-Мансийского автономного округа - Югры государственной функции по осуществлению государственного контроля (надзора) в сфере образования за деятельностью организаций, осуществляющих образовательную деятельность на территории Ханты-Мансийского автономного округа - Югры (за исключением организаций, указанных в пункте 7 части 1 статьи 6 Федерального закона от 29 декабря 2012 года № 273-ФЗ "Об образовании в Российской Федерации"), а также органов местного самоуправления, осуществляющих управление в сфере образования на соответствующей территории"
Номер опубликования: 8600201503100008
Дата опубликования:
10.03.2015
