Официальное опубликование правовых актов
ОФИЦИАЛЬНОЕ ОПУБЛИКОВАНИЕ
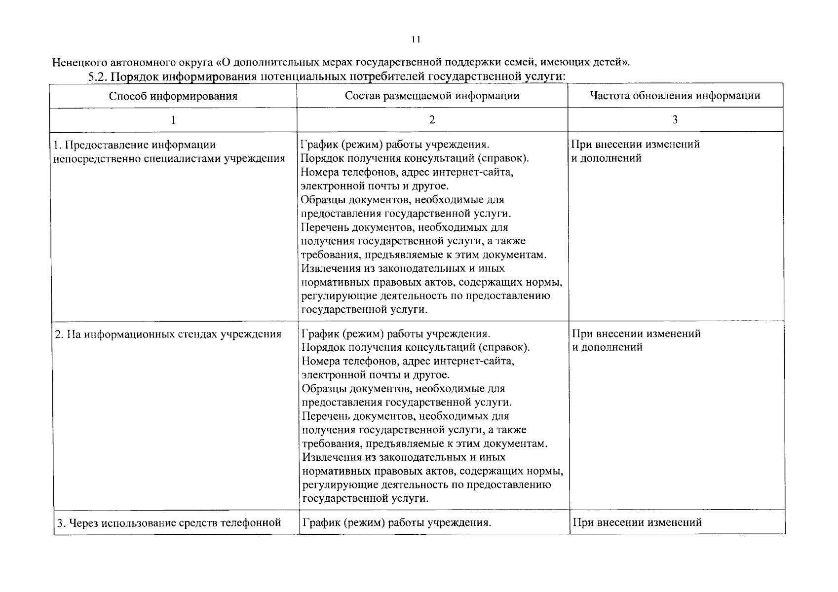
Приказ Департамента здравоохранения, труда и социальной защиты населения Ненецкого автономного округа от 27.01.2025 № 8
"Об утверждении государственного задания государственному казенному учреждению Ненецкого автономного округа "Отделение социальной защиты населения" на 2025 год и на плановый период 2026 и 2027 годов"
(Зарегистрирован 27.01.2025 № 38)
Номер опубликования: 8301202501290003
Дата опубликования: 29.01.2025
Страница №12 из 285:
Увеличить