Официальное опубликование правовых актов
ОФИЦИАЛЬНОЕ ОПУБЛИКОВАНИЕ
Приказ Департамента внутреннего контроля и надзора Ненецкого автономного округа от 14.01.2025 № 2
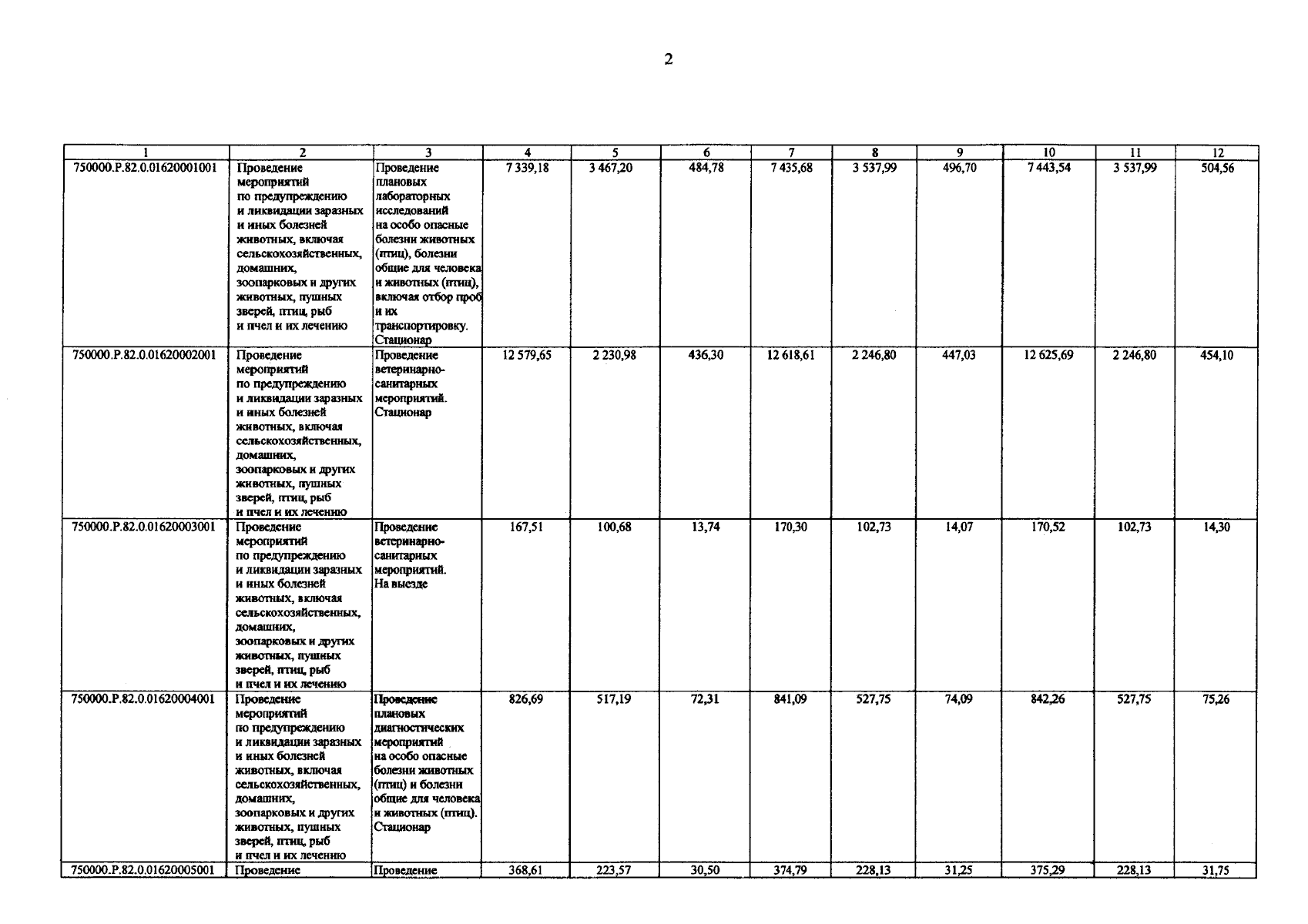
"Об утверждении значений базовых нормативов затрат для обеспечения оказания (выполнения) государственным бюджетным учреждением Ненецкого автономного округа "Станция по борьбе с болезнями животных" единицы государственной услуги (работы) на 2025-2027 годы"
(Зарегистрирован 14.01.2025 № 15)
Номер опубликования: 8301202501140001
Дата опубликования: 14.01.2025
Страница №3 из 4:
Увеличить