Официальное опубликование правовых актов
ОФИЦИАЛЬНОЕ ОПУБЛИКОВАНИЕ
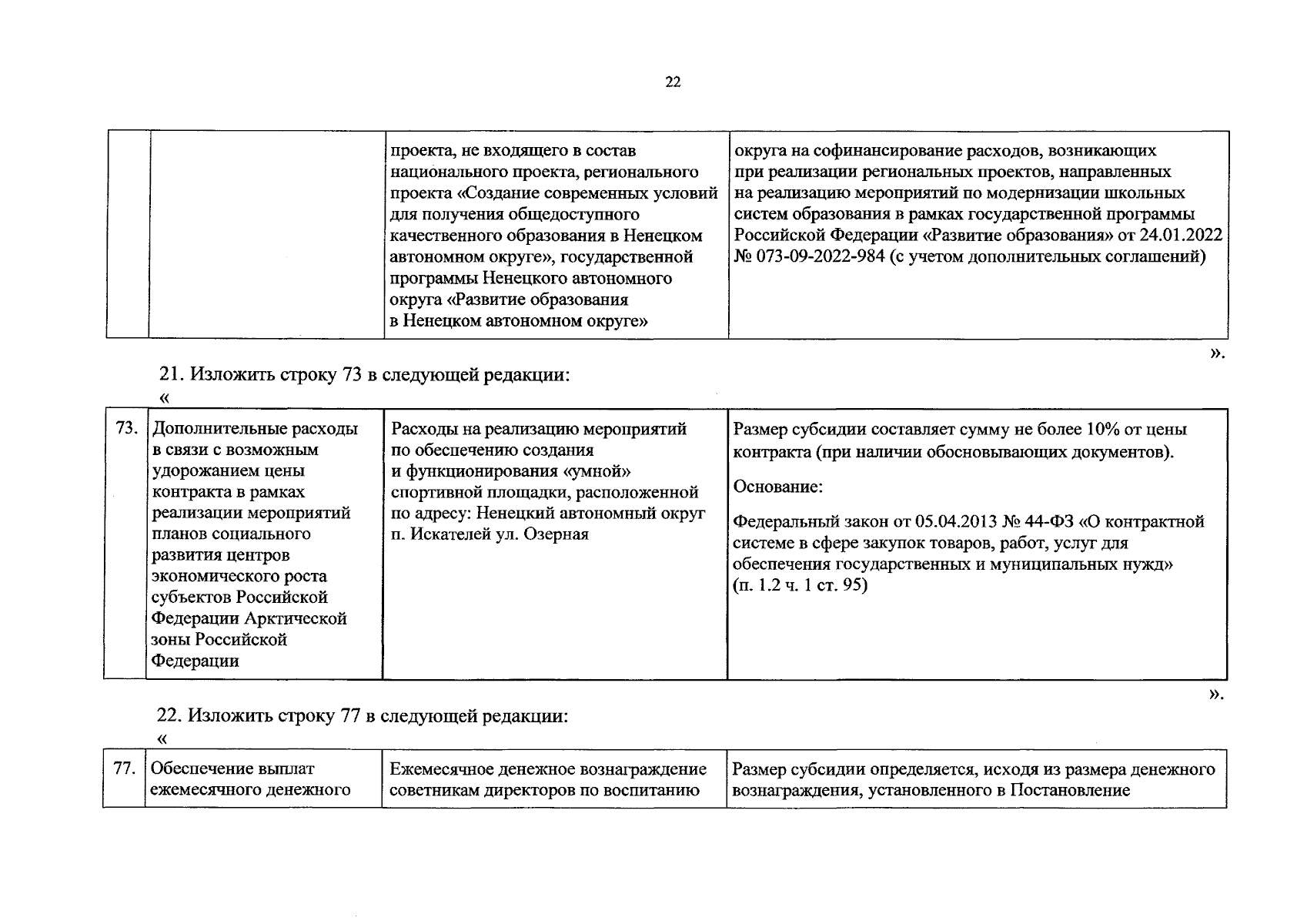
Приказ Департамента образования, культуры и спорта Ненецкого автономного округа от 27.12.2024 № 114
"О внесении изменений в Порядок предоставления из окружного бюджета государственным бюджетным учреждениям Ненецкого автономного округа, в отношении которых Департамент образования, культуры и спорта Ненецкого автономного округа осуществляет функции и полномочия учредителя, субсидий на иные цели"
(Зарегистрирован 27.12.2024 № 474)
Номер опубликования: 8301202412280001
Дата опубликования: 28.12.2024
Страница №24 из 25:
Увеличить