Официальное опубликование правовых актов
ОФИЦИАЛЬНОЕ ОПУБЛИКОВАНИЕ
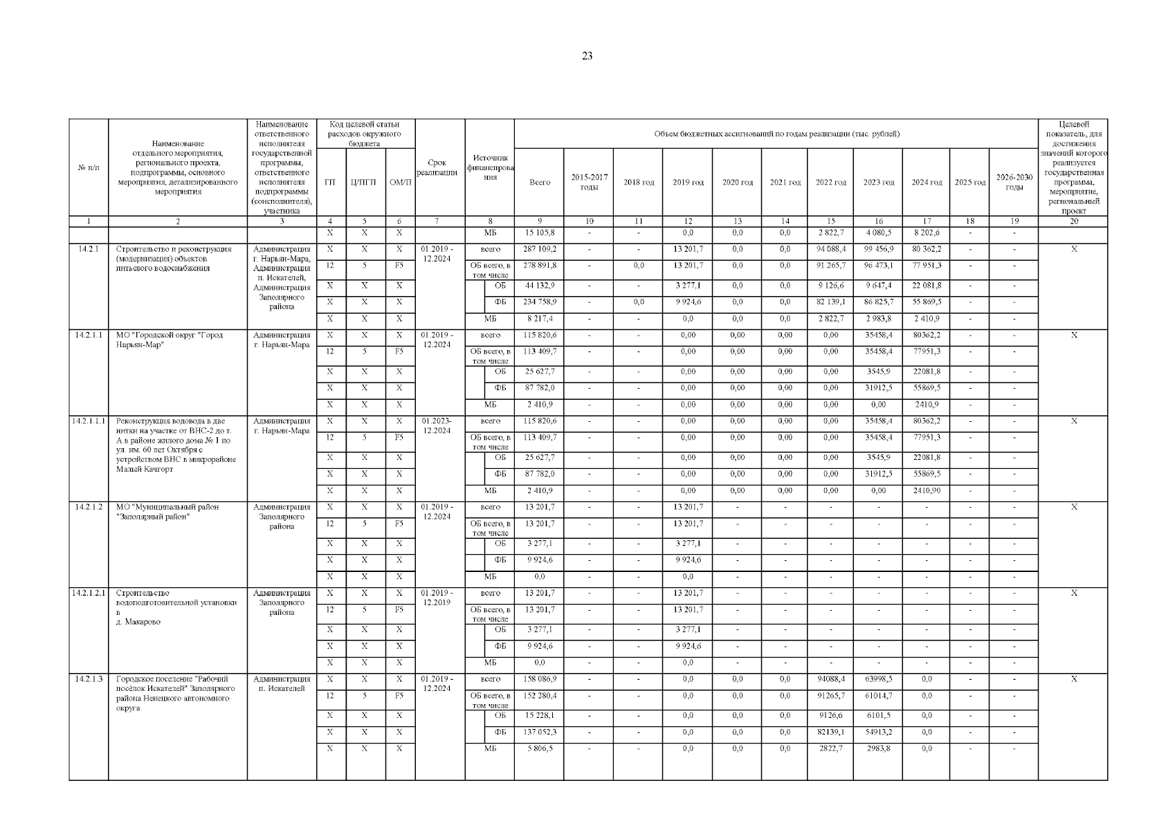
Приказ Департамента строительства, жилищно-коммунального хозяйства, энергетики и транспорта Ненецкого автономного округа от 03.10.2023 № 37
"О внесении изменения в перечень детализированных мероприятий государственной программы Ненецкого автономного округа "Модернизация жилищно-коммунального хозяйства Ненецкого автономного округа"
(Зарегистрирован 03.10.2023 № 349)
Номер опубликования: 8301202310040001
Дата опубликования: 04.10.2023
Страница №24 из 26:
Увеличить