Официальное опубликование правовых актов
ОФИЦИАЛЬНОЕ ОПУБЛИКОВАНИЕ
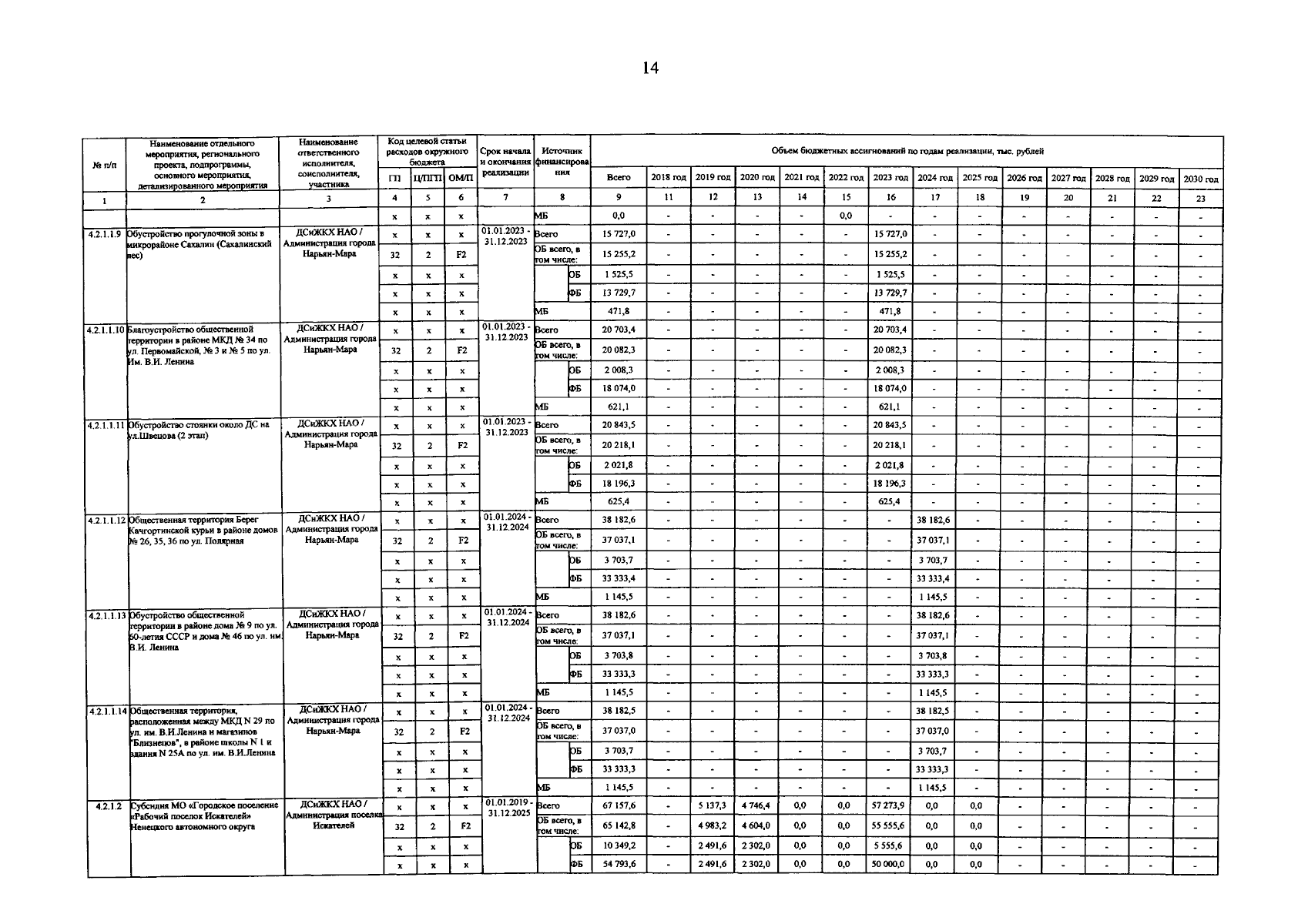
Приказ Департамента строительства, жилищно-коммунального хозяйства, энергетики и транспорта Ненецкого автономного округа от 14.09.2023 № 35
"О внесении изменения в перечень детализированных мероприятий государственной программы Ненецкого автономного округа "Формирование современной городской среды Ненецкого автономного округа"
(Зарегистрирован 14.09.2023 № 329)
Номер опубликования: 8301202309150001
Дата опубликования: 15.09.2023
Страница №15 из 18:
Увеличить