Официальное опубликование правовых актов
ОФИЦИАЛЬНОЕ ОПУБЛИКОВАНИЕ
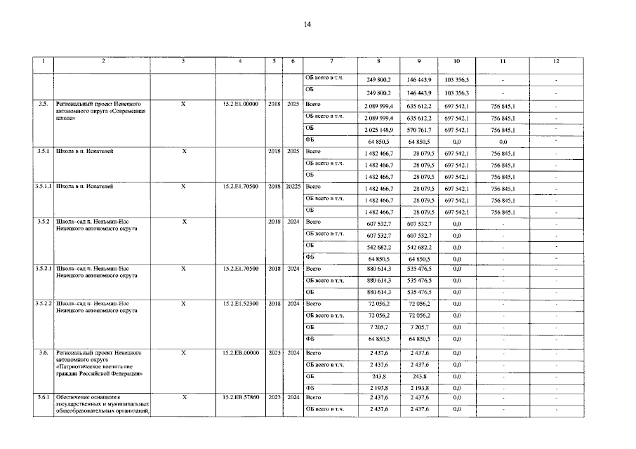
Приказ Департамента образования, культуры и спорта Ненецкого автономного округа от 24.07.2023 № 57
"О внесении изменения в перечень детализированных мероприятий государственной программы Ненецкого автономного округа "Развитие образования в Ненецком автономном округе"
(Зарегистрирован 25.07.2023 № 281)
Номер опубликования: 8301202307250001
Дата опубликования: 25.07.2023
Страница №15 из 17:
Увеличить