Приказ Департамента строительства, жилищно-коммунального хозяйства, энергетики и транспорта Ненецкого автономного округа от 23.03.2023 № 5
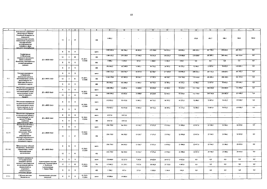
"О внесении изменения в перечень детализированных мероприятий государственной программы Ненецкого автономного округа "Модернизация жилищно-коммунального хозяйства Ненецкого автономного округа"
(Зарегистрирован 24.03.2023 № 117)
"О внесении изменения в перечень детализированных мероприятий государственной программы Ненецкого автономного округа "Модернизация жилищно-коммунального хозяйства Ненецкого автономного округа"
(Зарегистрирован 24.03.2023 № 117)
Номер опубликования: 8301202303270001
Дата опубликования:
27.03.2023
