Официальное опубликование правовых актов
ОФИЦИАЛЬНОЕ ОПУБЛИКОВАНИЕ
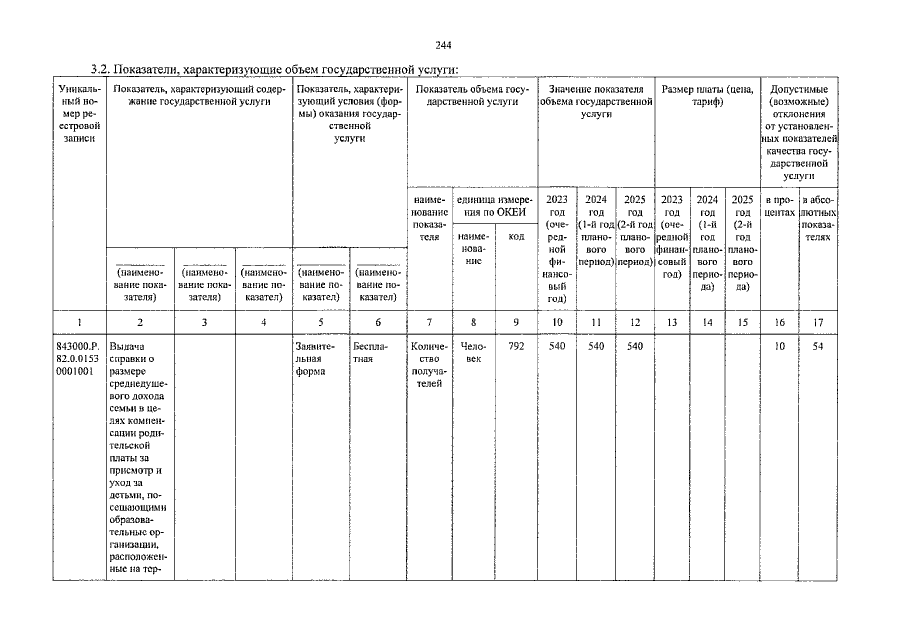
Приказ Департамента здравоохранения, труда и социальной защиты населения Ненецкого автономного округа от 30.01.2023 № 13
"Об утверждении государственного задания государственному казенному учреждению Ненецкого автономного округа "Отделение социальной защиты населения" на 2023 год и на плановый период 2024 и 2025 годов"
(Зарегистрирован 30.01.2023 № 41)
Номер опубликования: 8301202301310003
Дата опубликования: 31.01.2023
Страница №245 из 287:
Увеличить