Официальное опубликование правовых актов
ОФИЦИАЛЬНОЕ ОПУБЛИКОВАНИЕ
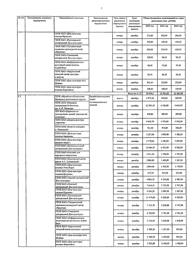
Приказ Департамента образования, культуры и спорта Ненецкого автономного округа от 21.06.2022 № 45
"О внесении изменений в Приложение к приказу Департамента образования, культуры и спорта Ненецкого автономного округа от 11.03.2022 № 25"
Номер опубликования: 8301202206220004
Дата опубликования: 22.06.2022
Страница №4 из 8:
Увеличить