Приказ Департамента строительства, жилищно-коммунального хозяйства, энергетики и транспорта Ненецкого автономного округа от 25.05.2021 № 17
"Об утверждении Административного регламента предоставления государственной услуги "Выдача разрешений на строительство при осуществлении строительства, реконструкции объектов капитального строительства, расположенных на территории Ненецкого автономного округа, за исключением сельских поселений"
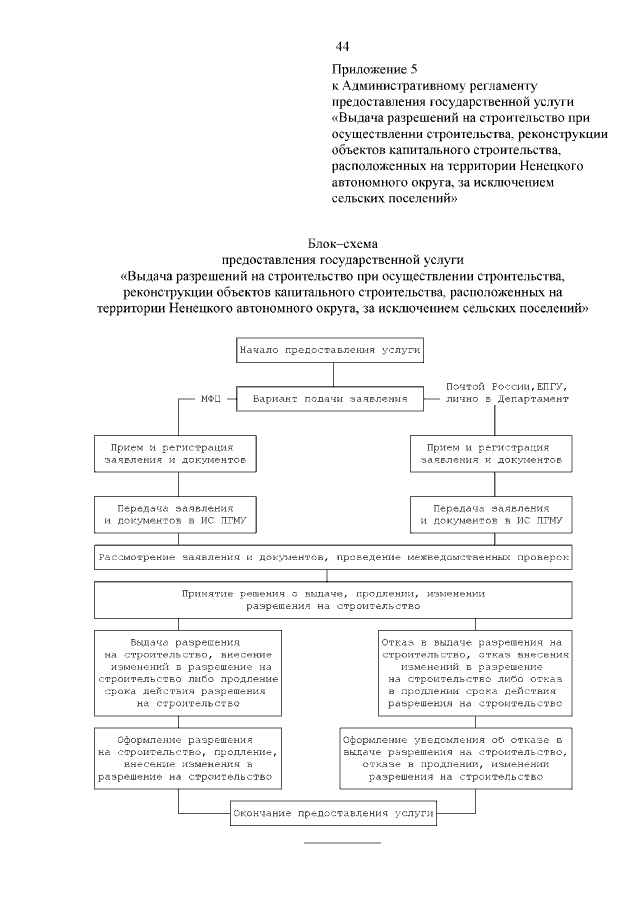
"Об утверждении Административного регламента предоставления государственной услуги "Выдача разрешений на строительство при осуществлении строительства, реконструкции объектов капитального строительства, расположенных на территории Ненецкого автономного округа, за исключением сельских поселений"
Номер опубликования: 8301202105250002
Дата опубликования:
25.05.2021
