Официальное опубликование правовых актов
ОФИЦИАЛЬНОЕ ОПУБЛИКОВАНИЕ
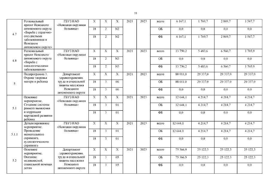
Приказ Департамента здравоохранения, труда и социальной защиты населения Ненецкого автономного округа от 30.03.2021 № 17
"Об утверждении Перечня детализированных мероприятий государственной программы Ненецкого автономного округа "Развитие здравоохранения Ненецкого автономного округа" на 2021 год и плановый период 2022-2023 годы"
Номер опубликования: 8301202104010001
Дата опубликования: 01.04.2021
Страница №19 из 30:
Увеличить