Официальное опубликование правовых актов
ОФИЦИАЛЬНОЕ ОПУБЛИКОВАНИЕ
Приказ Департамента строительства, жилищно-коммунального хозяйства, энергетики и транспорта Ненецкого автономного округа от 11.03.2021 № 11
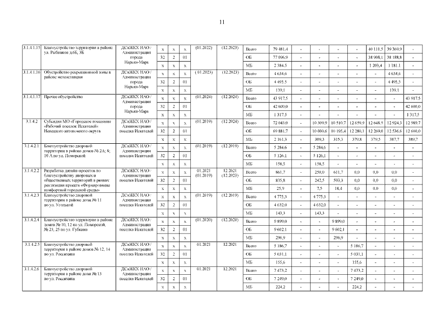
"О внесении изменения в перечень детализированных мероприятий государственной программы Ненецкого автономного округа "Формирование современной городской среды Ненецкого автономного округа"
Номер опубликования: 8301202103110003
Дата опубликования: 11.03.2021
Страница №12 из 19:
Увеличить