Официальное опубликование правовых актов
ОФИЦИАЛЬНОЕ ОПУБЛИКОВАНИЕ
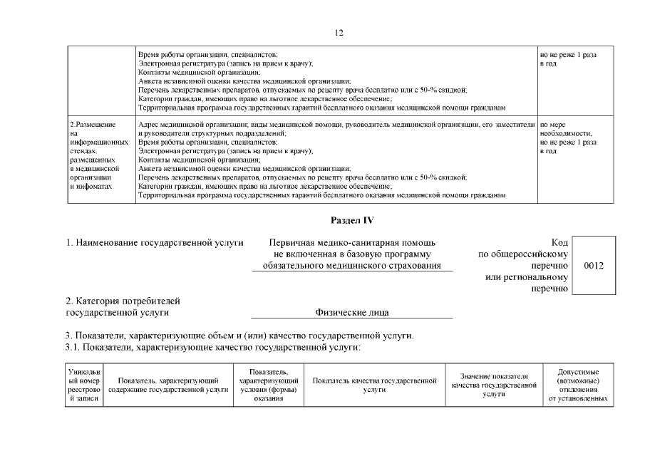
Приказ Департамента здравоохранения, труда и социальной защиты населения Ненецкого автономного округа от 30.12.2020 № 84
"Об утверждении государственного задания государственному бюджетному учреждению здравоохранения Ненецкого автономного округа "Ненецкая окружная больница имени Р.И. Батмановой" на 2021 год и на плановый период 2022 и 2023 годов"
Номер опубликования: 8301202012300003
Дата опубликования: 30.12.2020
Страница №13 из 66:
Увеличить