Официальное опубликование правовых актов
ОФИЦИАЛЬНОЕ ОПУБЛИКОВАНИЕ
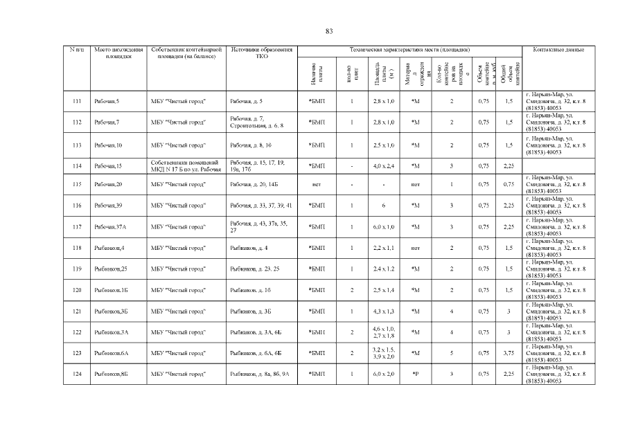
Приказ Департамента природных ресурсов, экологии и агропромышленного комплекса Ненецкого автономного округа от 06.10.2020 № 25-пр
"О внесении изменения в Территориальную схему обращения с отходами на территории Ненецкого автономного округа на период 2016-2030 годов"
Номер опубликования: 8301202010070001
Дата опубликования: 07.10.2020
Страница №84 из 311:
Увеличить