Официальное опубликование правовых актов
ОФИЦИАЛЬНОЕ ОПУБЛИКОВАНИЕ
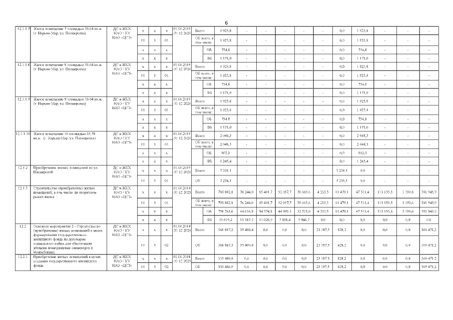
Приказ Департамента строительства, жилищно-коммунального хозяйства, энергетики и транспорта Ненецкого автономного округа от 18.08.2020 № 30
"О внесении изменения в перечень детализированных мероприятий государственной программы Ненецкого автономного округа "Обеспечение доступным и комфортным жильем и коммунальными услугами граждан, проживающих в Ненецком автономном округе"
Номер опубликования: 8301202008190003
Дата опубликования: 19.08.2020
Страница №7 из 24:
Увеличить