Официальное опубликование правовых актов
ОФИЦИАЛЬНОЕ ОПУБЛИКОВАНИЕ
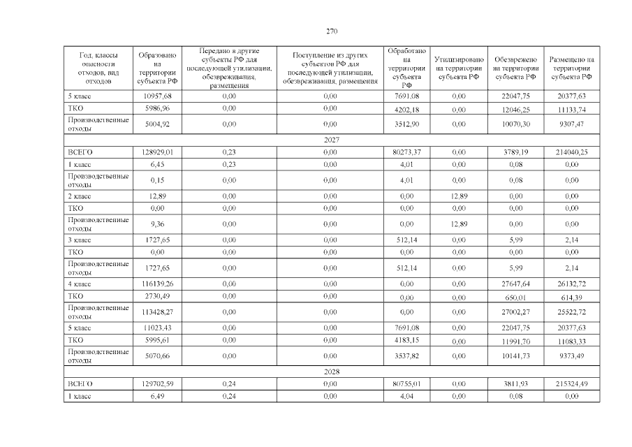
Приказ Департамента природных ресурсов, экологии и агропромышленного комплекса Ненецкого автономного округа от 06.04.2020 № 8-пр
"О внесении изменения в Территориальную схему обращения с отходами на территории Ненецкого автономного округа на период 2016-2030 годов"
Номер опубликования: 8301202004100001
Дата опубликования: 10.04.2020
Страница №271 из 324:
Увеличить