Официальное опубликование правовых актов
ОФИЦИАЛЬНОЕ ОПУБЛИКОВАНИЕ
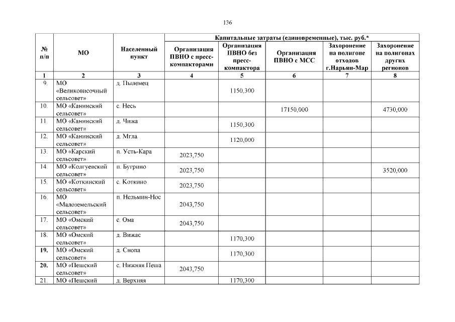
Приказ Департамента природных ресурсов, экологии и агропромышленного комплекса Ненецкого автономного округа от 11.12.2017 № 57-пр
"О внесении изменения в Территориальную схему обращения с отходами, в том числе с твердыми коммунальными отходами, на территории Ненецкого автономного округа на период 2016-2030 годов"
Номер опубликования: 8301201712150002
Дата опубликования: 15.12.2017
Страница №577 из 589:
Увеличить