Официальное опубликование правовых актов
ОФИЦИАЛЬНОЕ ОПУБЛИКОВАНИЕ
Приказ Департамента здравоохранения, труда и социальной защиты населения Ненецкого автономного округа от 05.12.2017 № 79
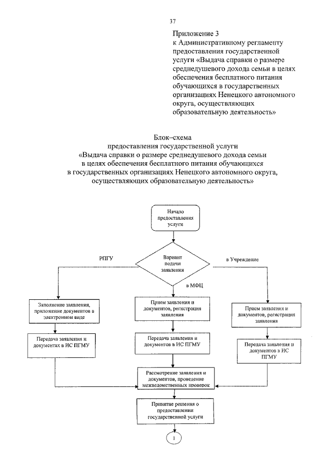
"Об утверждении Административного регламента предоставления государственной услуги "Выдача справки о размере среднедушевого дохода семьи в целях обеспечения бесплатного питания обучающихся в государственных организациях Ненецкого автономного округа, осуществляющих образовательную деятельность"
Номер опубликования: 8301201712110009
Дата опубликования: 11.12.2017
Страница №38 из 39:
Увеличить