Официальное опубликование правовых актов
ОФИЦИАЛЬНОЕ ОПУБЛИКОВАНИЕ
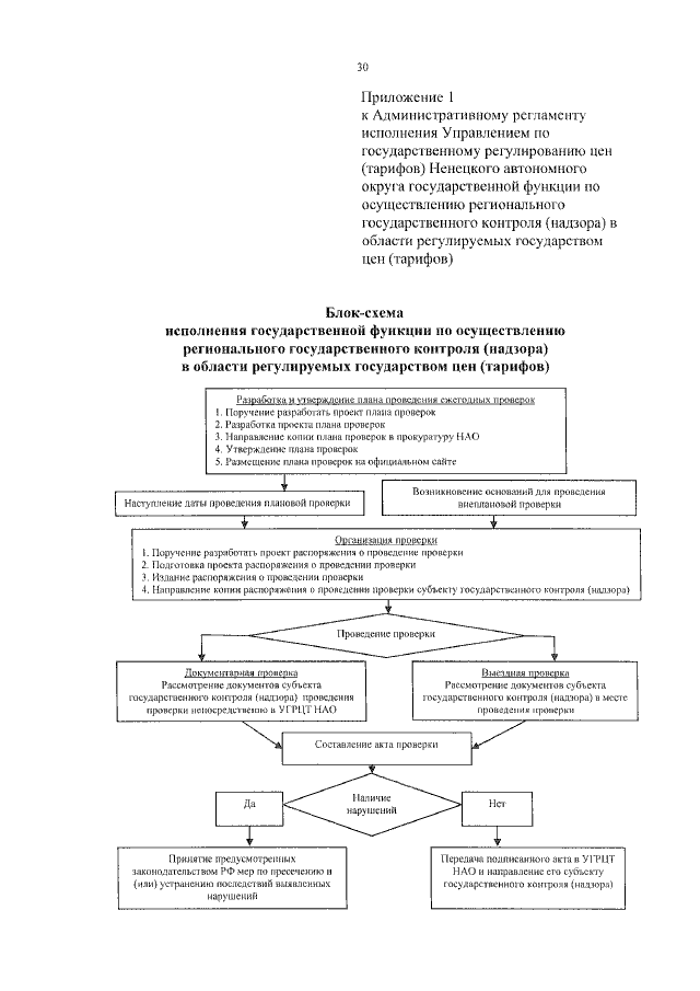
Приказ Управления по государственному регулированию цен (тарифов) Ненецкого автономного округа от 18.08.2017 № 20
"Об утверждении административного регламента исполнения Управлением по государственному регулированию цен (тарифов) Ненецкого автономного округа государственной функции по осуществлению регионального государственного контроля (надзора) в области регулируемых государством цен (тарифов)"
Номер опубликования: 8301201708220001
Дата опубликования: 22.08.2017
Страница №32 из 42:
Увеличить