Официальное опубликование правовых актов
ОФИЦИАЛЬНОЕ ОПУБЛИКОВАНИЕ
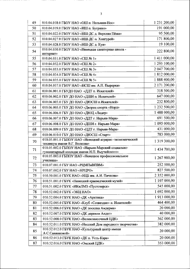
Приказ Департамента образования, культуры и спорта Ненецкого автономного округа от 30.05.2017 № 36
"О внесении изменений в приказ Департамента образования, культуры и спорта Ненецкого автономного округа от 28.04.2017 № 23"
Номер опубликования: 8301201706010001
Дата опубликования: 01.06.2017
Страница №12 из 31:
Увеличить