Официальное опубликование правовых актов
ОФИЦИАЛЬНОЕ ОПУБЛИКОВАНИЕ
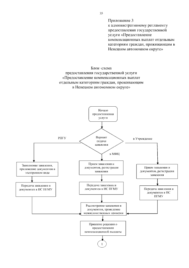
Приказ Департамента здравоохранения, труда и социальной защиты населения Ненецкого автономного округа от 04.05.2017 № 34
"Об утверждении Административного регламента по предоставлению государственной услуги "Предоставление компенсационных выплат отдельным категориям граждан, проживающим в Ненецком автономном округе"
Номер опубликования: 8301201705100002
Дата опубликования: 10.05.2017
Страница №36 из 37:
Увеличить