Официальное опубликование правовых актов
ОФИЦИАЛЬНОЕ ОПУБЛИКОВАНИЕ
Приказ Департамента образования, культуры и спорта Ненецкого автономного округа от 17.04.2017 № 20
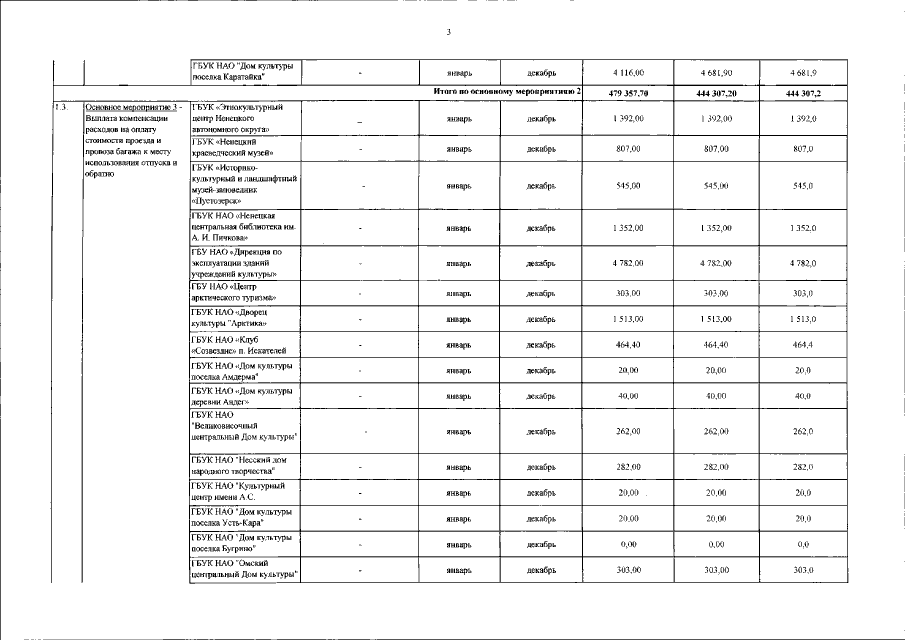
"Об утверждении перечня детализированных мероприятий государственной программы Ненецкого автономного округа "Развитие культуры и туризма" на 2017 год и на плановый период 2018 и 2019 годов"
Номер опубликования: 8301201704190001
Дата опубликования: 19.04.2017
Страница №4 из 11:
Увеличить