Официальное опубликование правовых актов
ОФИЦИАЛЬНОЕ ОПУБЛИКОВАНИЕ
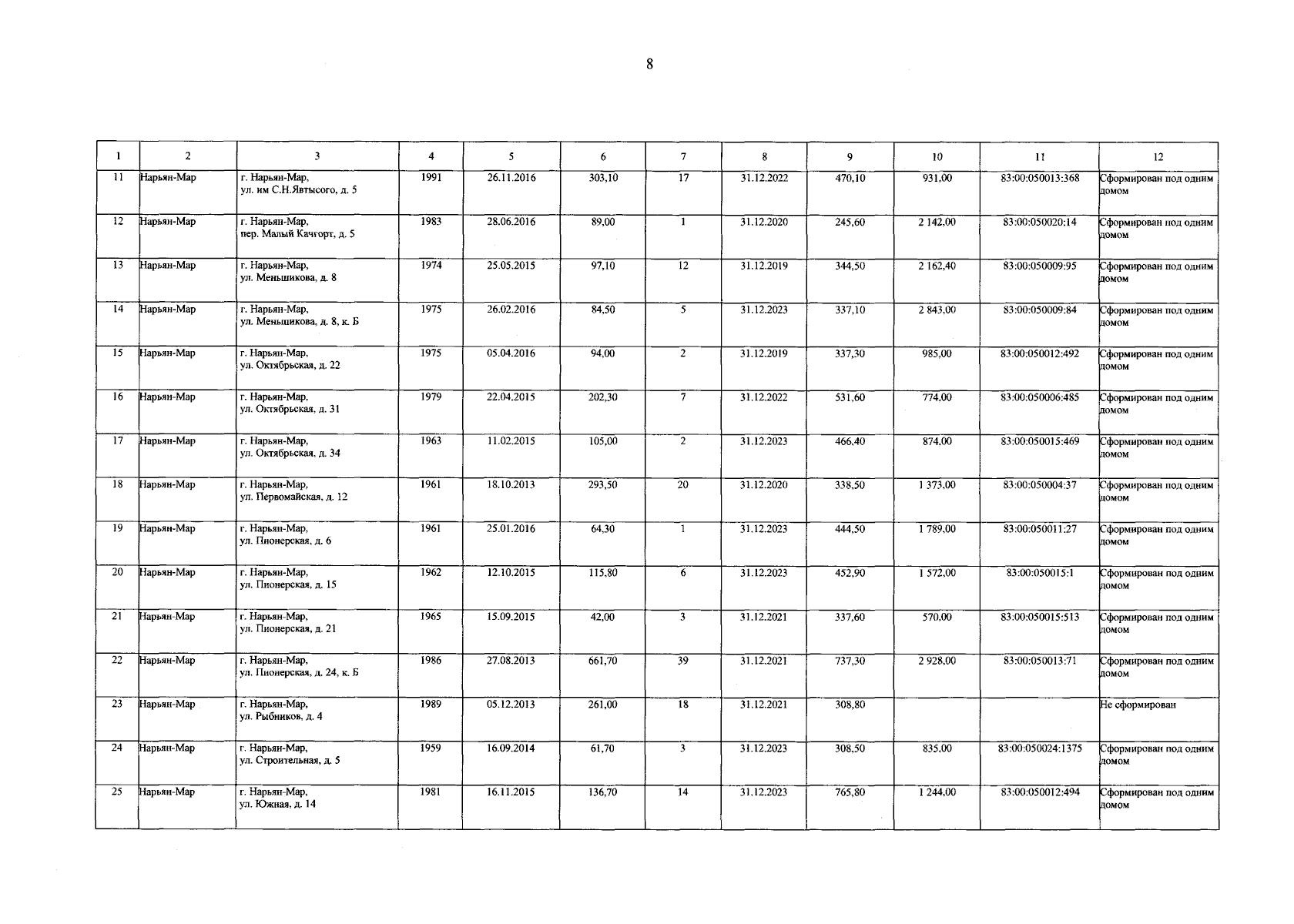
Постановление Администрации Ненецкого автономного округа от 24.11.2025 № 292-п
"О внесении изменений в региональную адресную программу "Переселение граждан из аварийного жилищного фонда Ненецкого автономного округа"
Номер опубликования: 8300202511270006
Дата опубликования: 27.11.2025
Страница №9 из 18:
Увеличить