Официальное опубликование правовых актов
ОФИЦИАЛЬНОЕ ОПУБЛИКОВАНИЕ
Постановление Администрации Ненецкого автономного округа от 20.08.2025 № 227-п
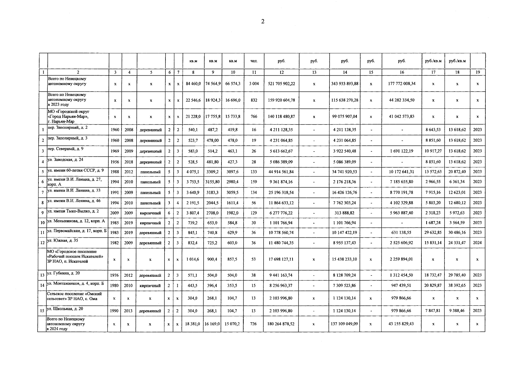
"О внесении изменений в краткосрочный план реализации региональной программы капитального ремонта общего имущества в многоквартирных домах, расположенных на территории Ненецкого автономного округа, на 2023–2025 годы"
Номер опубликования: 8300202508250003
Дата опубликования: 25.08.2025
Страница №3 из 15:
Увеличить