Официальное опубликование правовых актов
ОФИЦИАЛЬНОЕ ОПУБЛИКОВАНИЕ
Постановление Администрации Ненецкого автономного округа от 07.05.2025 № 127-п
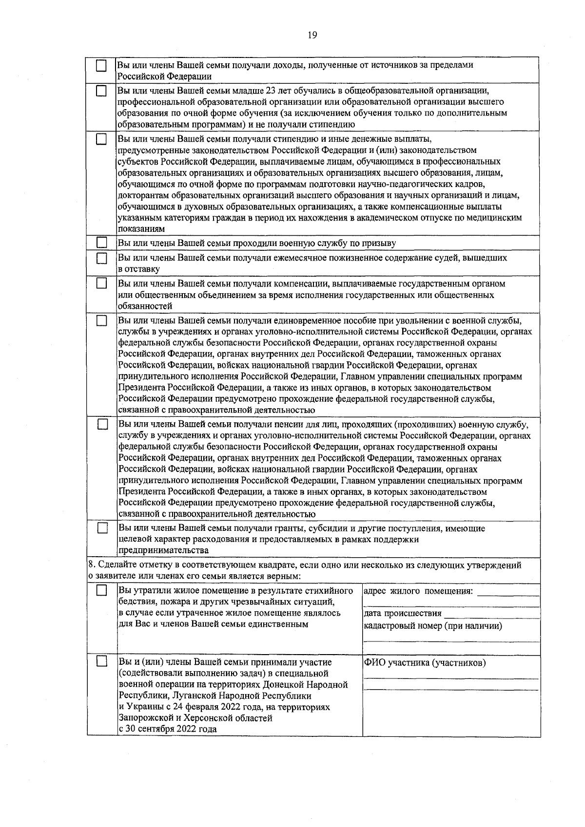
"Об утверждении Порядка ведения учета граждан, имеющих право на получение социальных выплат на строительство (завершение ранее начатого строительства) индивидуальных жилых домов и домов блокированной застройки с признаками индивидуального жилого дома, построенных в сельской местности, в том числе единовременных социальных выплат на компенсацию части затрат на строительство индивидуальных жилых домов и домов блокированной застройки с признаками индивидуального жилого дома в сельской местности"
Номер опубликования: 8300202505120003
Дата опубликования: 12.05.2025
Страница №21 из 59:
Увеличить