Официальное опубликование правовых актов
ОФИЦИАЛЬНОЕ ОПУБЛИКОВАНИЕ
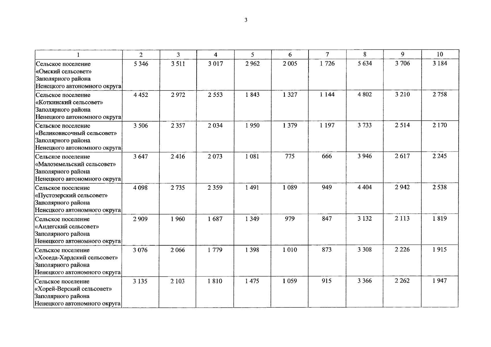
Постановление Администрации Ненецкого автономного округа от 23.12.2024 № 299-п
"Об утверждении региональных стандартов стоимости жилищно-коммунальных услуг в Ненецком автономном округе на 2025 год"
Номер опубликования: 8300202412240002
Дата опубликования: 24.12.2024
Страница №4 из 22:
Увеличить