Постановление Администрации Ненецкого автономного округа от 04.07.2024 № 164-п
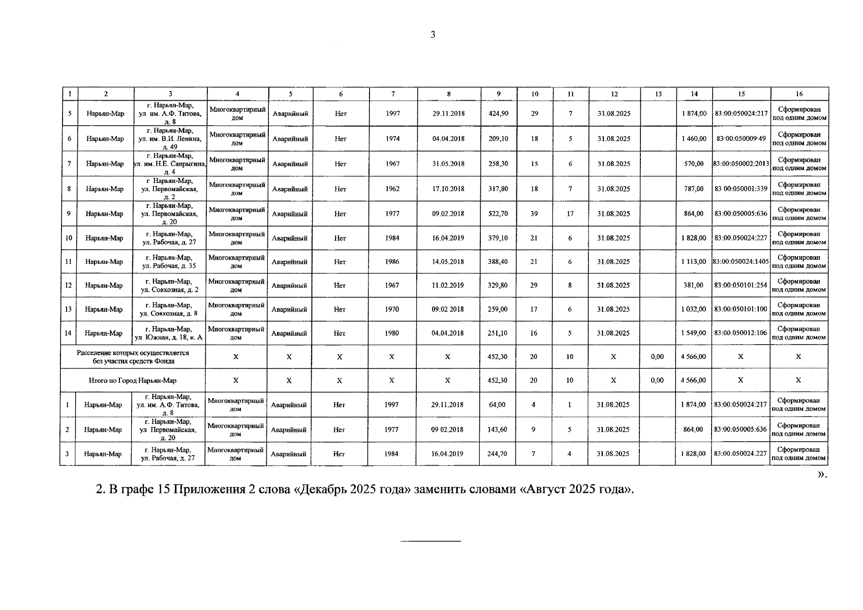
"О внесении изменений в региональную адресную программу "Переселение граждан из аварийного жилищного фонда Ненецкого автономного округа в 2024–2025 годах"
"О внесении изменений в региональную адресную программу "Переселение граждан из аварийного жилищного фонда Ненецкого автономного округа в 2024–2025 годах"
Номер опубликования: 8300202407040003
Дата опубликования:
04.07.2024
