Официальное опубликование правовых актов
ОФИЦИАЛЬНОЕ ОПУБЛИКОВАНИЕ
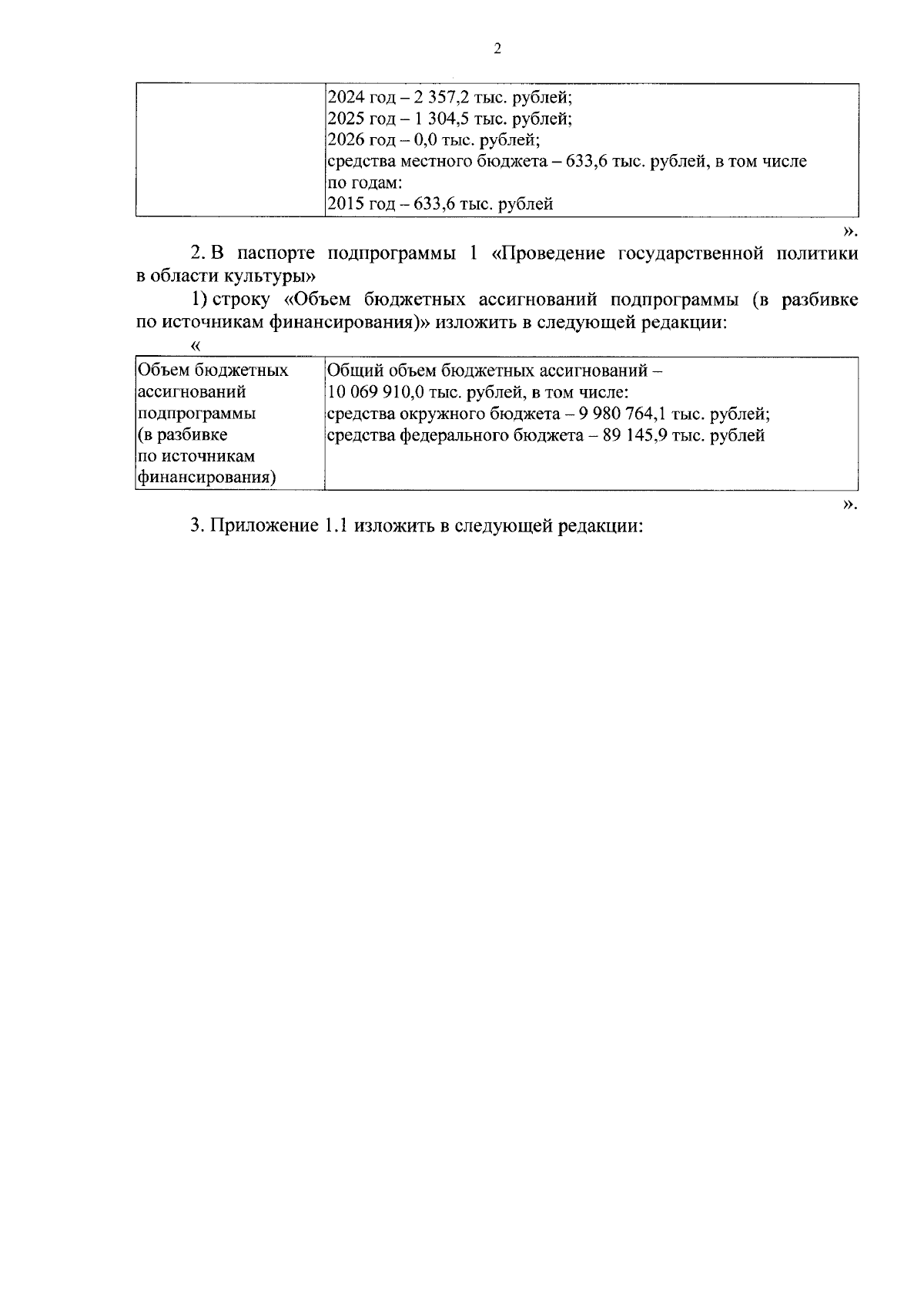
Постановление Администрации Ненецкого автономного округа от 16.10.2023 № 281-п
"О внесении изменений в государственную программу Ненецкого автономного округа "Развитие культуры"
Номер опубликования: 8300202310180001
Дата опубликования: 18.10.2023
Страница №3 из 13:
Увеличить