Официальное опубликование правовых актов
ОФИЦИАЛЬНОЕ ОПУБЛИКОВАНИЕ
Постановление Администрации Ненецкого автономного округа от 09.11.2022 № 309-п
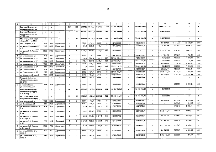
"О внесении изменений в краткосрочный план реализации региональной программы капитального ремонта общего имущества в многоквартирных домах, расположенных на территории Ненецкого автономного округа, на 2020–2022 годы"
Номер опубликования: 8300202211110003
Дата опубликования: 11.11.2022
Страница №3 из 12:
Увеличить