Официальное опубликование правовых актов
ОФИЦИАЛЬНОЕ ОПУБЛИКОВАНИЕ
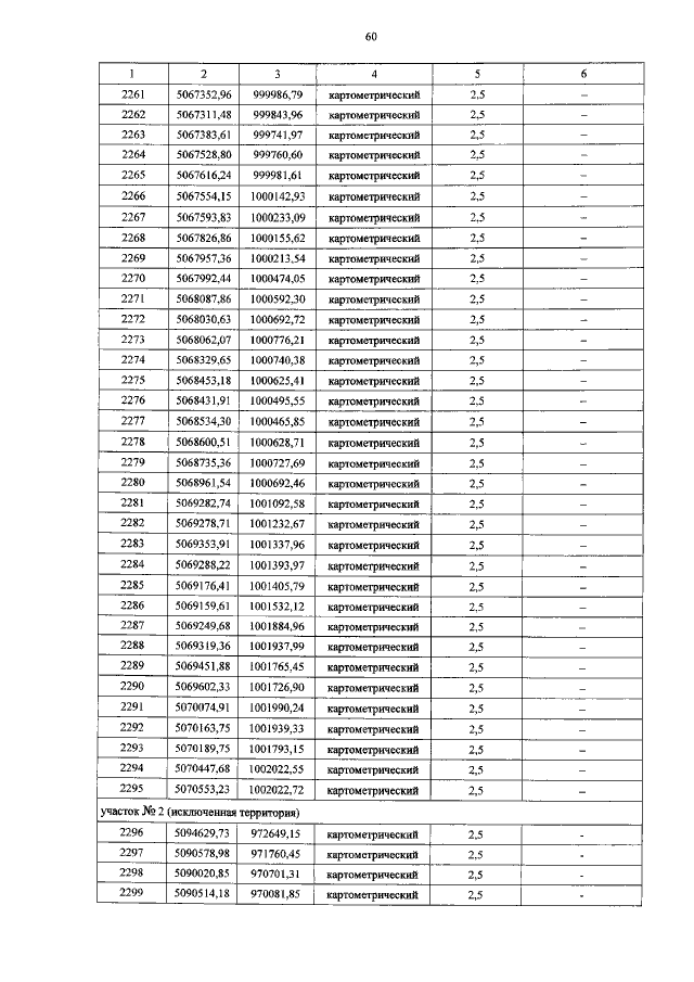
Постановление Администрации Ненецкого автономного округа от 18.03.2021 № 80-п
"О внесении изменений в Положение о комплексном природном парке регионального значения "Северный Тиман"
Номер опубликования: 8300202103190001
Дата опубликования: 19.03.2021
Страница №61 из 70:
Увеличить