Официальное опубликование правовых актов
ОФИЦИАЛЬНОЕ ОПУБЛИКОВАНИЕ
Постановление Администрации Ненецкого автономного округа от 09.03.2021 № 65-п
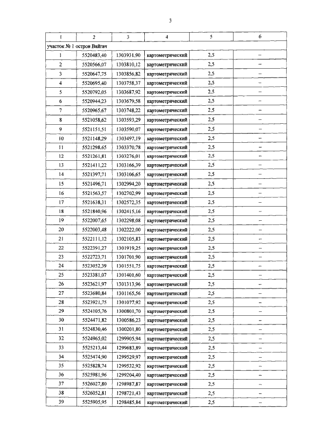
"О внесении изменений в Положение о государственном региональном комплексном природном заказнике "Вайгач"
Номер опубликования: 8300202103120002
Дата опубликования: 12.03.2021
Страница №4 из 84:
Увеличить