Официальное опубликование правовых актов
ОФИЦИАЛЬНОЕ ОПУБЛИКОВАНИЕ
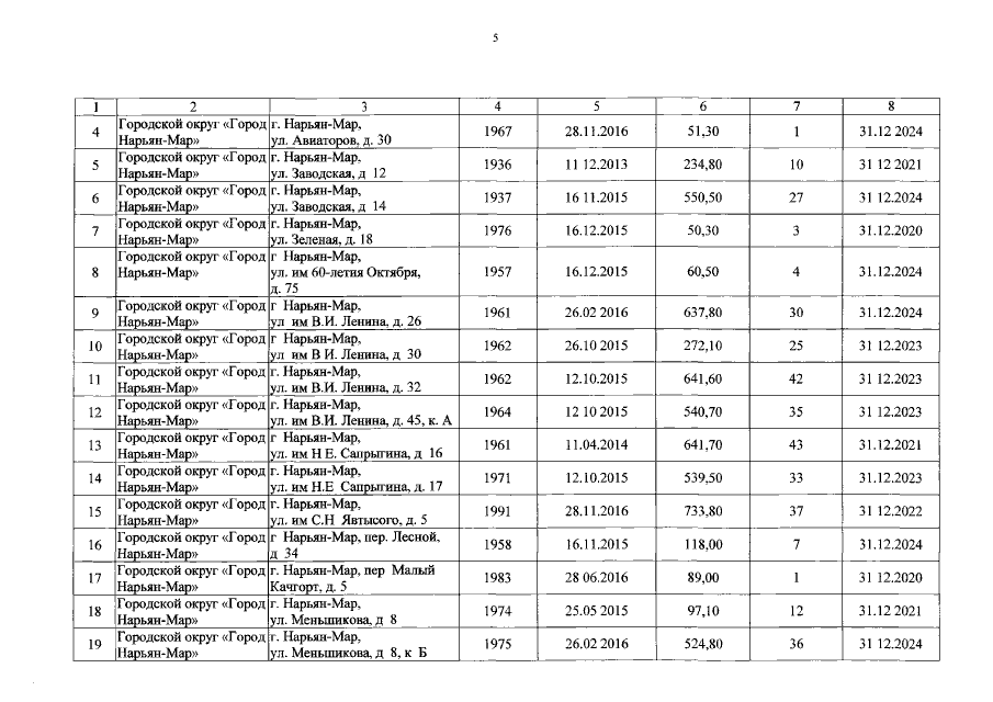
Постановление Администрации Ненецкого автономного округа от 07.05.2019 № 132-п
"О внесении изменений в региональную адресную программу "Переселение граждан из аварийного жилищного фонда Ненецкого автономного округа"
Номер опубликования: 8300201905070006
Дата опубликования: 07.05.2019
Страница №6 из 15:
Увеличить