Официальное опубликование правовых актов
ОФИЦИАЛЬНОЕ ОПУБЛИКОВАНИЕ
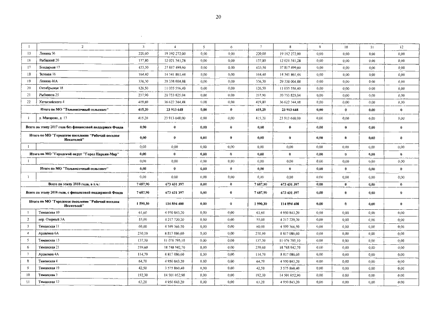
Постановление Администрации Ненецкого автономного округа от 11.10.2016 № 322-п
"Об утверждении региональной адресной программы "Переселение граждан из аварийного жилищного фонда Ненецкого автономного округа"
Номер опубликования: 8300201610130003
Дата опубликования: 13.10.2016
Страница №20 из 25:
Увеличить