Официальное опубликование правовых актов
ОФИЦИАЛЬНОЕ ОПУБЛИКОВАНИЕ
Постановление Администрации Ненецкого автономного округа от 26.11.2015 № 385-п
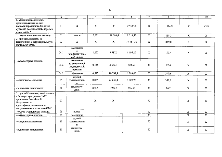
"О внесении изменений в Программу государственных гарантий бесплатного оказания гражданам медицинской помощи на территории Ненецкого автономного округа на 2015 год и на плановый период 2016 и 2017 годов"
Номер опубликования: 8300201512030003
Дата опубликования: 03.12.2015
Страница №141 из 144:
Увеличить