Официальное опубликование правовых актов
ОФИЦИАЛЬНОЕ ОПУБЛИКОВАНИЕ
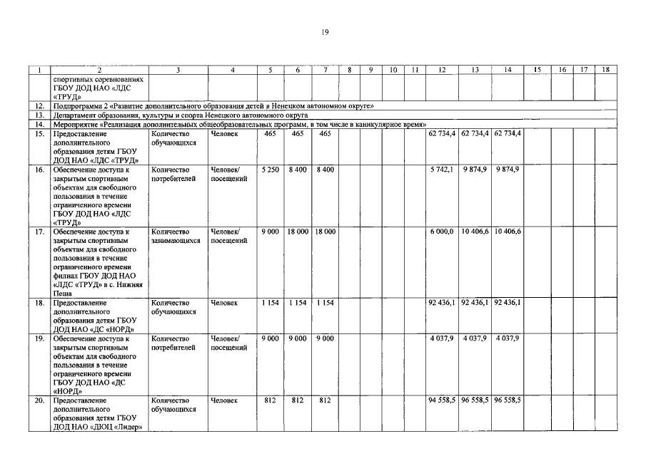
Постановление Администрации Ненецкого автономного округа от 21.10.2015 № 338-п
"О внесении изменений в государственную программу Ненецкого автономного округа "Развитие физической культуры, спорта и дополнительного образования в Ненецком автономном округе"
Номер опубликования: 8300201510270002
Дата опубликования: 27.10.2015
Страница №20 из 23:
Увеличить