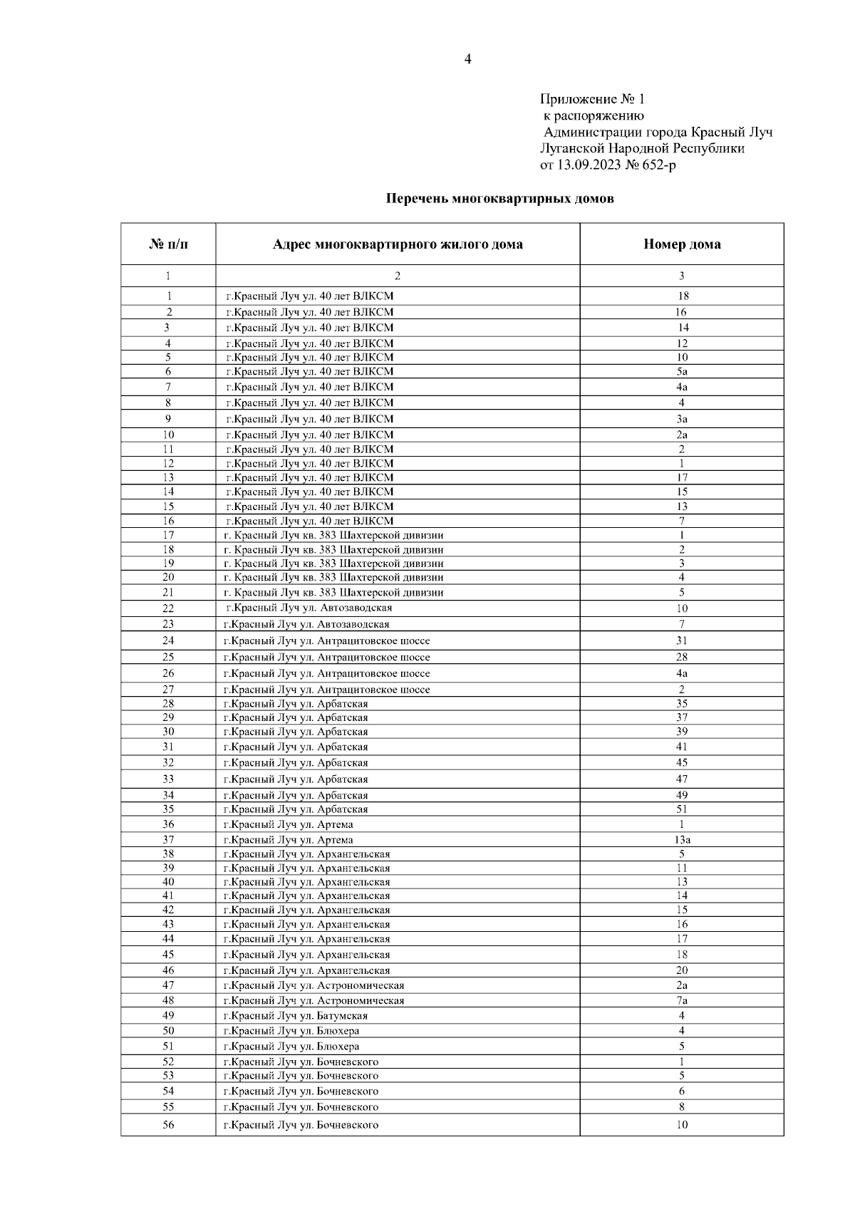
Распоряжение Администрации города Красный Луч Луганской Народной Республики от 13.09.2023 № 652-р
"О некоторых вопросах управления многоквартирными домами, в отношении которых собственниками помещений в многоквартирном доме не выбран способ управления таким домом или выбранный способ управления не реализован, не определена управляющая организация"
(Зарегистрирован 22.09.2023 № 106/106)
"О некоторых вопросах управления многоквартирными домами, в отношении которых собственниками помещений в многоквартирном доме не выбран способ управления таким домом или выбранный способ управления не реализован, не определена управляющая организация"
(Зарегистрирован 22.09.2023 № 106/106)
Номер опубликования: 8101202309270003
Дата опубликования:
27.09.2023
