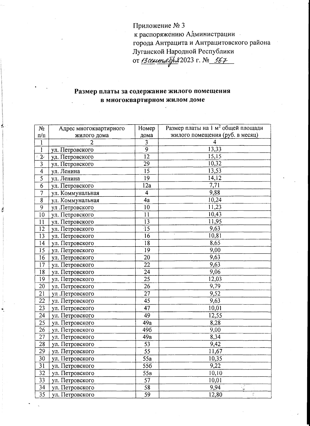
Распоряжение Администрации города Антрацита и Антрацитовского района Луганской Народной Республики от 13.09.2023 № 567
"О некоторых вопросах управления многоквартирными жилыми домами‚ в отношении которых собственниками помещений в многоквартирном доме не выбран способ управления таким домом или выбранный способ управления не реализован, не определена управляющая организация"
(Зарегистрирован 19.09.2023 № 95/95)
"О некоторых вопросах управления многоквартирными жилыми домами‚ в отношении которых собственниками помещений в многоквартирном доме не выбран способ управления таким домом или выбранный способ управления не реализован, не определена управляющая организация"
(Зарегистрирован 19.09.2023 № 95/95)
Номер опубликования: 8101202309220008
Дата опубликования:
22.09.2023
