Официальное опубликование правовых актов
ОФИЦИАЛЬНОЕ ОПУБЛИКОВАНИЕ
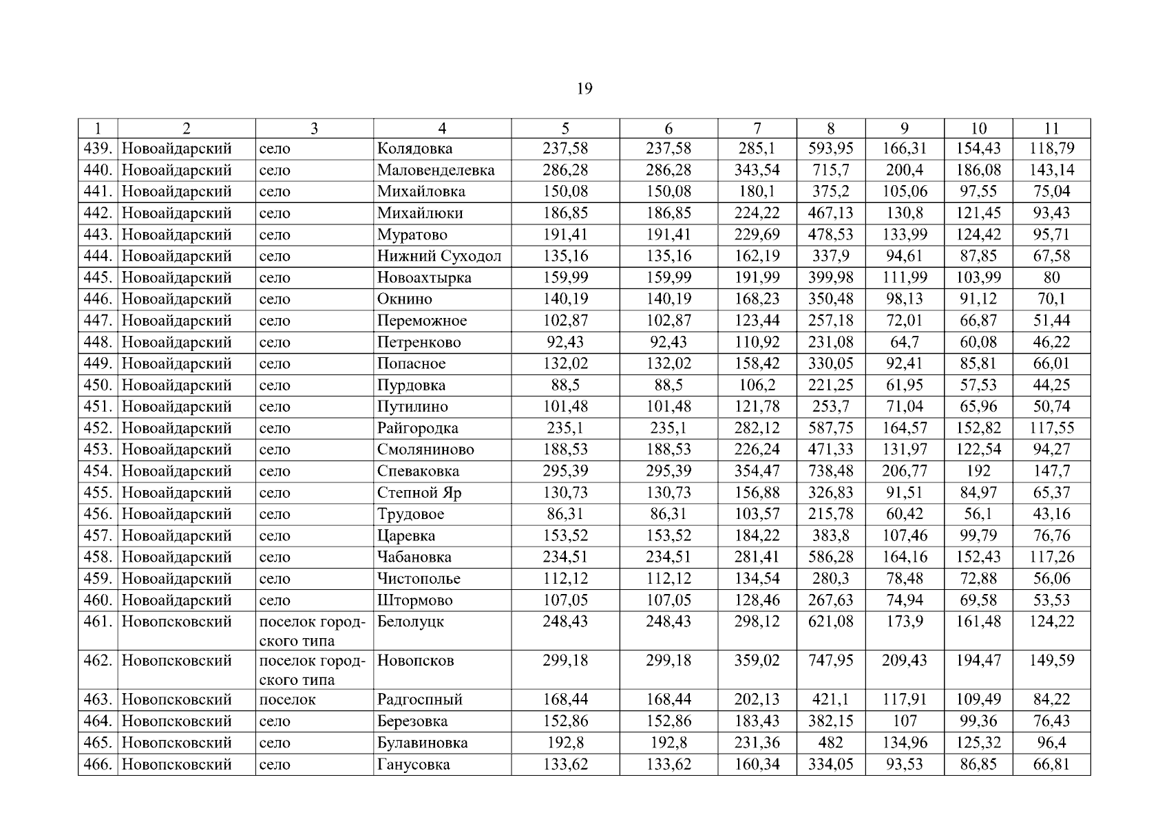
Постановление Правительства Луганской Народной Республики от 17.03.2026 № 59/26
"Об утверждении Положения об особенностях определения нормативной цены земельных участков и удельных показателей нормативной цены земельных участков в Луганской Народной Республике"
Номер опубликования: 8100202603180001
Дата опубликования: 18.03.2026
Страница №22 из 42:
Увеличить