Официальное опубликование правовых актов
ОФИЦИАЛЬНОЕ ОПУБЛИКОВАНИЕ
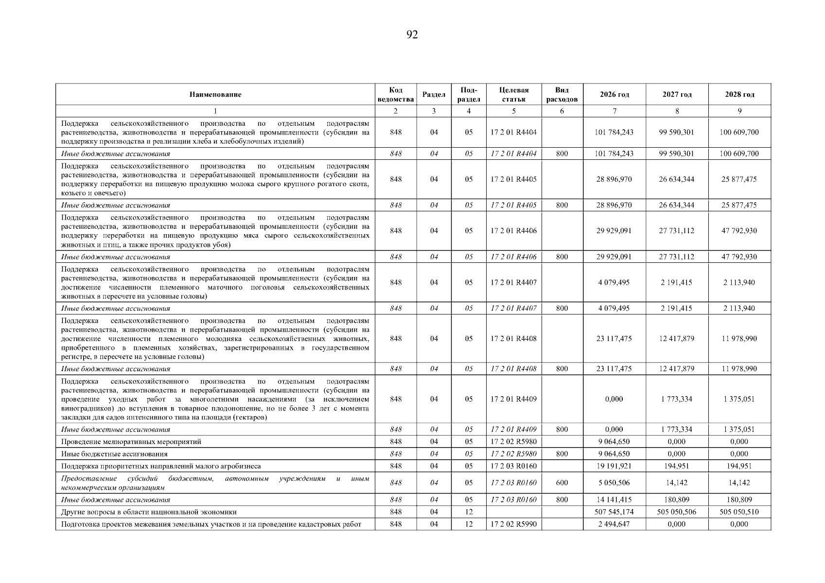
Закон Луганской Народной Республики от 17.12.2025 № 224-I
"О бюджете Луганской Народной Республики на 2026 год и на плановый период 2027 и 2028 годов"
Номер опубликования: 8100202512180001
Дата опубликования: 18.12.2025
Страница №92 из 202:
Увеличить