Официальное опубликование правовых актов
ОФИЦИАЛЬНОЕ ОПУБЛИКОВАНИЕ
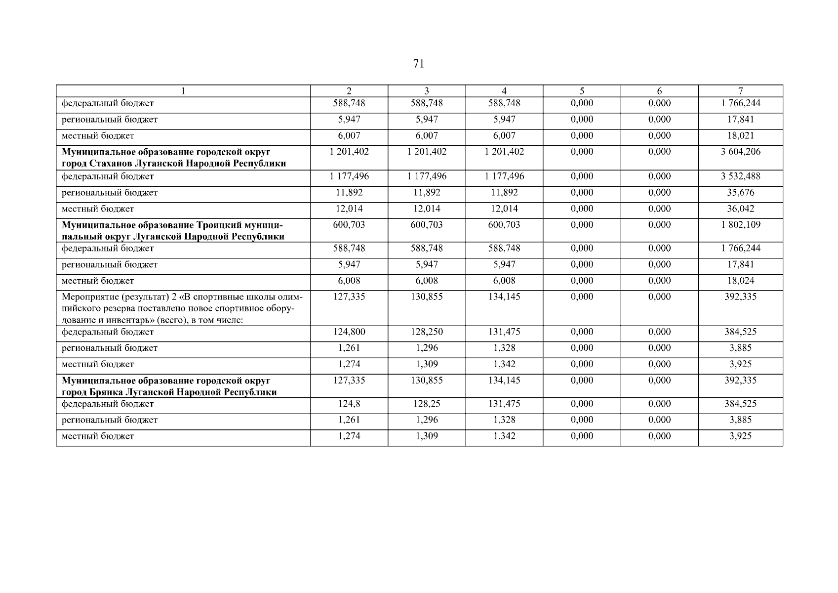
Постановление Правительства Луганской Народной Республики от 16.10.2025 № 227/25
"Об утверждении государственной программы Луганской Народной Республики "Развитие физической культуры и спорта"
Номер опубликования: 8100202510230006
Дата опубликования: 23.10.2025
Страница №72 из 118:
Увеличить