Официальное опубликование правовых актов
ОФИЦИАЛЬНОЕ ОПУБЛИКОВАНИЕ
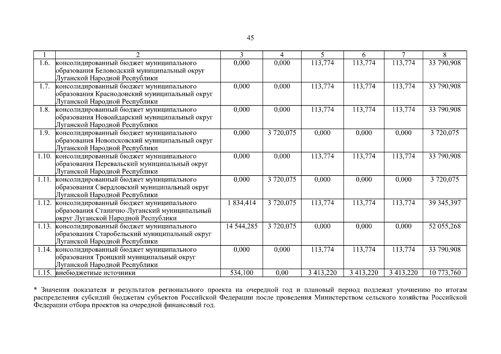
Постановление Правительства Луганской Народной Республики от 14.10.2025 № 212/25
"Об утверждении государственной программы Луганской Народной Республики "Комплексное развитие сельских территорий Луганской Народной Республики"
Номер опубликования: 8100202510170004
Дата опубликования: 17.10.2025
Страница №46 из 48:
Увеличить